Introduction
This paper aims to study standing waves in terms of the dependence of wavelength on tension. Since it is known that the nature of standing waves, which includes amplitude, frequency, and velocity, depends on the tension of the string, it is this tension force that is used for the analysis. Specifically, the tension affects the wavelength, which is measured with a measuring stick. The work aims to plot the relationship between wavelength and tension force and study the nature of their relationship.
Data
During the experiment, wavelength as a property of standing waves was measured for a string that was pulsed at one end. The pulse generator was an electric vibrator that provided a constant frequency of 60 Hz. Table 1 below shows the results of direct measurements and calculations of the root of the tension force for the string. It is evident that with the increase of tension force, there is a regular growth of the wavelength, which increases the speed of mechanical wave propagation.
Table 1:Results of direct measurements
Figure 1 below shows the dependence of the wavelength on the root of the tension force. It can be clearly seen that this dependence can be classified as linear because the corresponding coefficient of determination is exceptionally high. Since the linear trend is upward, the wavelength will continue to grow with increasing tension force. Numerically, this is reflected by the slope coefficient: for every one-unit increase in tension, the wavelength increases by 1.024 m; accordingly, the slope coefficient is 1.024 m/N. The Y-intercept, in this case, is meaningless because it assumes the existence of the wave at zero tension, which is impossible.

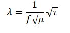
The slope coefficient can also be interesting from another point of view. According to the formula shown in the instructions:

Therefore,

If it is known that the electric vibrator created standing waves at 60 Hz, then the mass density of the string can be determined from this equation:

Meanwhile, one can see that the dependence of the wavelength on the tension force is not perfectly linear since the experiment was conducted under non-ideal conditions. The sources of errors and inaccuracies could be measurement uncertainties, and an increase in these uncertainties led to an accumulation of more significant errors. For example, when measuring the wavelength in a standing wave, one could use either one loop or several loops at once and then divide by their number.
The first option seemed more appropriate since, in the second case, the calculations could lead to errors, and it was unlikely that under non-ideal conditions, all loops would turn out to be the same size. Large loops were the most convenient for the measurement since using small ones could lead to increased errors. Tension naturally increases the length of the wave and, hence, the speed of their propagation in space, but the tension could not be infinite; it was limited by the suspended mass. Since the mass of the string was found to be 0.3 g/m, the allowable uncertainty, having little effect on the results, would be 0.01 g/m.
Conclusion
In this work, an experiment was conducted to study the effect of string tension force on the lengths of standing waves created. It was shown that as the tension increased, the wavelength, that is, the speed of wave propagation in space, also increased in a regular manner. Using a regression model, it was calculated that the mass density of this spring was equal to 0.3 g/m. In general, the experiment showed the possibility of determining the mass density by measuring the tension force and the standing wavelength and also confirmed the linearity of their relationship.